| Applicable contracts |
|
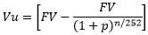
Exchange Fee and operational fee

Where:
Vu = the value of the exchange fee or operational fee due per contract;
VF = the value of the loan operation at the date of registration;
p = the value of the exchange fee or operational fee, according to the table below;
n = number of business days, counting from the registration of the operation on SISBEX (included) until the termination of the contract (excluded).
| Fee | Value (p) |
|---|---|
| Exchange fee | 0.0025% p.a. |
| Operational fee | 0.0050% p.a. |
Incentive policies
- Daytrade: 35% of the exchange fee.
