| Applicable contracts |
|
Exchange fee and operational fee
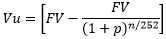
Prefixed rate

Where:
Vu = the value of the exchange fee or operational fee due per contract;
FV = the face value of the title;
p = the value of the exchange fee or operational fee, according to the table below;
n = number of business days, counting from the registration of the operation on SISBEX (included) until the termination of the contract (excluded), limited according to the table below.
| Fee | Value (p) | Limit n | |
|---|---|---|---|
| Exchange fee | 0.0005% p.a. | 378 business days | |
| Operational fee | 0.000125% p.a. | 42 business days |
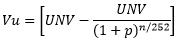
Post fixed rates

Where:
Vu = the value of the exchange fee or operational fee due per contract;
UNV = updated nominal value of the title, released by the Central Bank of Brazil, or arbitrated by B3&FBOVESPA, in case the value is not released until the settlement date;
p = the value of the exchange fee or operational fee, according to the table below;
n = number of business days, counting from the registration of the operation on SISBEX (included) until the expiration date of the contract (excluded), limited according to the table below.
| Fee | Value (p) | Limit n |
|---|---|---|
| Exchange fee | 0.0005% p.a. | 378 business days |
| Operational fee | 0.000125% p.a. | 42 business days |
Incentive policies
- Daytrade: 35% of the exchange fee.
